本帖最后由 夜空下的艾莉欧 于 2025-10-24 01:27 编辑
奶量计算公式
奶量计算公式引用 本帖。旧奶量部分相对新奶量影响很小,大约占总奶量的5%。可以认为是不同奶的打造差异。比如35000三攻的奶,35000*0.05=1750。不考虑这1750三攻也是33250。那么如果涉及计算,我们可以认为基本讨论的奶三攻在3.3~3.5水准下计算即可,都是常见的奶量阶层范围。从而忽略旧奶量的影响。
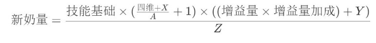
新奶量的计算公式:
三攻、力智、太阳提升率计算
因为我们考虑的是黄金乡增幅12的3000增益的影响,因此技能基础,四维这种都是被控制变量的,而AXYZ都是常数。
那么我们不妨对公式作以下变换:
把控制变量的部分记为 a
然后分别写出提升前后的数值,把x记为提升的差值。
再对上下两个式子做比例,就可以得到差值相对于提升前的比例。
Y=3500是buff的数值。比如提升前描述的是三攻,以35000三攻的奶为例。可能会比较接近12奶尊奶妈的水准。按增益量加成28%,增益量进图26万计算。
说明三攻收益会提升1.14%。
那么如果是35000的三攻,提升是1.14%*35000=399。如果是33000的三攻,提升量是1.14%*33000=376。也就是三攻会提升376~399之间。近似取380~400。
buff力智的提升也是这个比率。太阳则是Y取5000的情况。也是接近1.14%。
这说明从力智和三攻来说,各自会膨胀1.14%。
对C的伤害的提升
一般来说,如果以奶妈为例,带三攻玉的时候,通常buff力智数值是三攻的5.5倍左右,太阳(三觉)是11.6倍左右,因此合计力智会是17倍三攻水准。如果认为三攻在33000~35000的奶妈,则总力智会在56W~59.5W的水准。
那么如果三攻膨胀在380~400,力智会膨胀6460~6800之间。
如果模板C基本是26000力智(大约站街6200左右),3900的三攻。
会有以下结论:
换成28000力智和4200三攻如下,差异其实非常小,可以认为就是2.1%左右的水准。
如果奶扩大一些也不会有太大的改变。

总结
黄金乡的3000增益量一般来说,对三攻的影响方面,主要是进图会增加380~400左右,如果奶增幅比较高会400以上,但是不太会500以上。站街则没有收益。
至于这部分具体能给C增加多少伤害,各个模板下显示一般是2.1%等效提升水准。
在提升数值的绝对值不是很大的情况下,变化规律和增益量收益近似线性关系。比如为了黄金乡3000增益在积分搭配上亏1000增益,收益就是接近2/3的水准。
|